FotobusTransport autobusowy

Informacja o zdjęciu

346 kB


Identyfikator zdjęcia:2098801
Rozmiar pliku:346 kB
Autor:Сэм
Opublikowano:18.12.2018 22:10 MSK
Znajduje się na stronę, dni:2616
Odsłon:283
Komentarzy:0

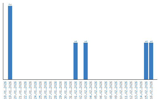
Liczba oglądających wg dat