ФотобусАвтобусний транспорт

Статистика по зображенню

262 КБ


Ідентифікатор зображення:2085621
Розмір файлу:262 КБ
Автор:пассат
Опубліковано:23.11.2018 05:28 MSK
Знаходиться на сайті, днів:2605
Унікальних переглядів:878
Коментарів:0

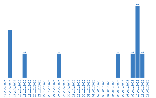
Динаміка переглядів за датами