ФотобусАвтобусный транспорт

Информация об изображении

492 КБ


Идентификатор изображения:2083071
Размер файла:492 КБ
Автор:rvr
Опубликовано:17.11.2018 02:13 MSK
Находится на сайте, дней:2662
Уникальных просмотров:491
Комментариев:1

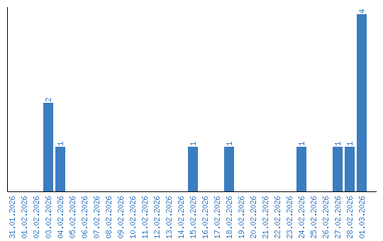
Динамика просмотров по датам