ФотобусАвтобусный транспорт

Информация об изображении

288 КБ


Идентификатор изображения:2078601
Размер файла:288 КБ
Автор:папа25
Опубликовано:06.11.2018 22:44 MSK
Находится на сайте, дней:2690
Уникальных просмотров:473
Комментариев:1

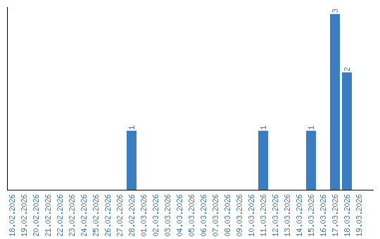
Динамика просмотров по датам