ФотобусАвтобусный транспорт

Информация об изображении

318 КБ


Идентификатор изображения:2072156
Размер файла:318 КБ
Автор:Grenadier_Thomas
Опубликовано:25.10.2018 23:34 MSK
Находится на сайте, дней:2720
Уникальных просмотров:215
Комментариев:0

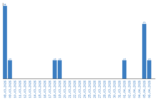
Динамика просмотров по датам