ФотобусАвтобусний транспорт

Статистика по зображенню

176 КБ


Ідентифікатор зображення:2070211
Розмір файлу:176 КБ
Автор:Иваныч из Тагила
Опубліковано:22.10.2018 14:20 MSK
Знаходиться на сайті, днів:2573
Унікальних переглядів:498
Коментарів:0

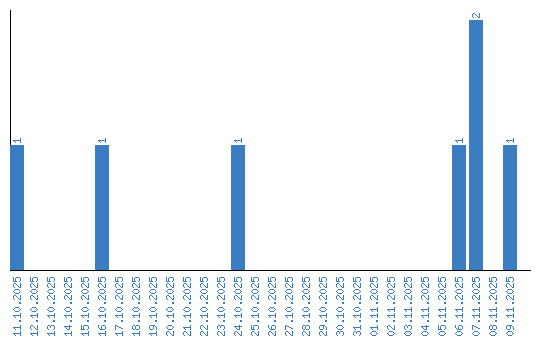
Динаміка переглядів за датами