FotobusΜεταφορά με λεωφορείο

Picture Statistics

178 KB


Picture ID:206567
File Size:178 KB
Συγγραφέας:Андрей Зубаткин
Publication Date:10.01.2010 19:15 MSK
Days in Database:5780
Unique views:482
Comments:0

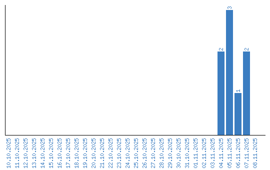
Viewing statistics by date