ФотобусАвтобусный транспорт

Информация об изображении

456 КБ


Идентификатор изображения:2062378
Размер файла:456 КБ
Автор:A G
Опубликовано:07.10.2018 22:57 MSK
Находится на сайте, дней:2551
Уникальных просмотров:438
Комментариев:0

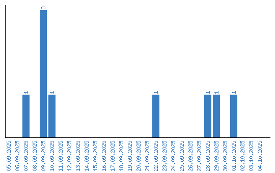
Динамика просмотров по датам