ФотобусАвтобустар галереясы

Информация об изображении

160 КБ


Идентификатор изображения:206220
Размер файла:160 КБ
Автор:Alwar
Опубликовано:09.01.2010 22:55 MSK
Находится на сайте, дней:5889
Уникальных просмотров:285
Комментариев:0

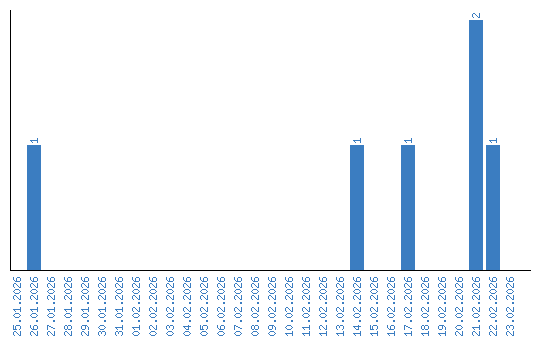
Динамика просмотров по датам