ФотобусАвтобусный транспорт

Информация об изображении

292 КБ


Идентификатор изображения:2060232
Размер файла:292 КБ
Автор:DVkor
Опубликовано:04.10.2018 13:51 MSK
Находится на сайте, дней:2664
Уникальных просмотров:278
Комментариев:0

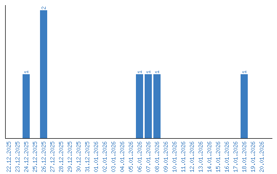
Динамика просмотров по датам