ФотобусАвтобусный транспорт

Информация об изображении

263 КБ


Идентификатор изображения:2055275
Размер файла:263 КБ
Автор:DVkor
Опубликовано:25.09.2018 13:16 MSK
Находится на сайте, дней:2719
Уникальных просмотров:358
Комментариев:0

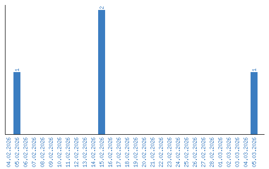
Динамика просмотров по датам