ФотобусАвтобусный транспорт

Информация об изображении

218 КБ


Идентификатор изображения:20538
Размер файла:218 КБ
Автор:спринтер85
Опубликовано:23.04.2008 21:54 MSK
Находится на сайте, дней:6405
Уникальных просмотров:443
Комментариев:0

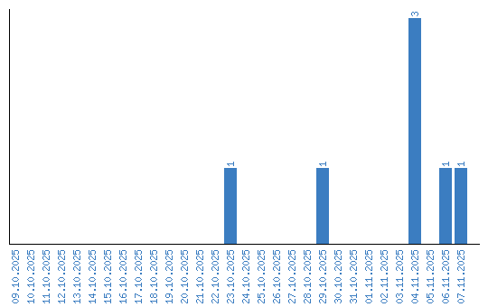
Динамика просмотров по датам