FotobusAutobusų transportas

Nuotraukos informacija

290 KB


Nuotraukos identifikatorius:2045120
Bylos dydis:290 KB
Autorius:Alex-Od
Publikuota:05.09.2018 15:38 MSK
Yra tinklapyje dienų:2666
Unikalių peržiūrų:149
Komentarų:0

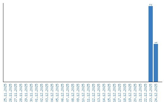
Peržiūrų dinamika pagal dienas