ФотобусАвтобустар галереясы

Информация об изображении

333 КБ


Идентификатор изображения:2039696
Размер файла:333 КБ
Автор:Михаил Селивёрстов
Опубликовано:26.08.2018 21:05 MSK
Находится на сайте, дней:2630
Уникальных просмотров:373
Комментариев:0

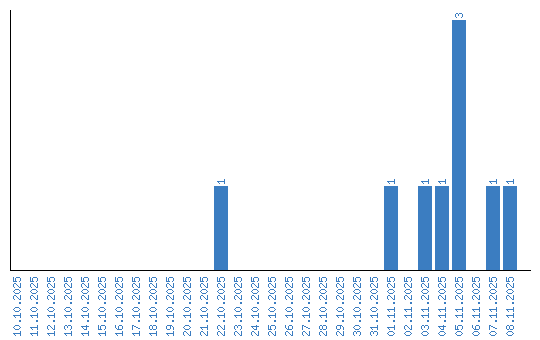
Динамика просмотров по датам