ФотабусАўтобусны транспарт

Iнфармацыя аб малюнку

341 КБ


Ідэнтыфікатар малюнка:2030505
Памер файла:341 КБ
Аўтар:Denis_ua
Апублікавана:11.08.2018 16:21 MSK
Знаходзіцца на сайце, дзён:2669
Унікальных праглядаў:155
Каментарыяў:0

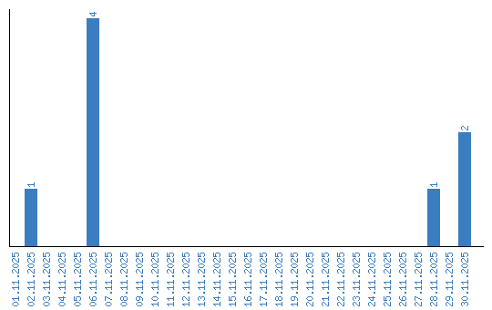
Дынаміка праглядаў па датах