ФотабусАўтобусны транспарт

Iнфармацыя аб малюнку

341 КБ


Ідэнтыфікатар малюнка:2023037
Памер файла:341 КБ
Аўтар:Thorn77
Апублікавана:30.07.2018 23:19 MSK
Знаходзіцца на сайце, дзён:2734
Унікальных праглядаў:551
Каментарыяў:0

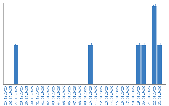
Дынаміка праглядаў па датах