FotobusΜεταφορά με λεωφορείο

Picture Statistics

339 KB


Picture ID:2022689
File Size:339 KB
Συγγραφέας:Евгений Мамыкин
Publication Date:30.07.2018 18:06 MSK
Days in Database:2661
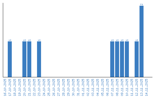
Unique views:527
Comments:0

Viewing statistics by date