FotobusAutobusa transports

Informācija par attēli

328 KB


Attēla identifikātors:2022102
Faila lielums:328 KB
Autors:Bocius
Ir publicēts:29.07.2018 23:46 MSK
Atrodas vietnē, dienās:2675
Unikāli skatījumi:486
Komentārus:2

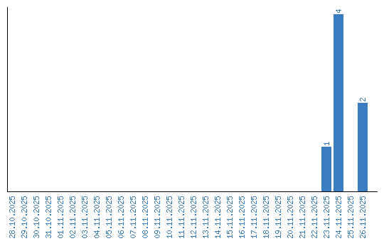
Dinamika skatišana pēc datuma