ФотобусАвтобусный транспорт

Информация об изображении

312 КБ


Идентификатор изображения:2017865
Размер файла:312 КБ
Автор:Nikola2000
Опубликовано:23.07.2018 02:56 MSK
Находится на сайте, дней:2663
Уникальных просмотров:402
Комментариев:0

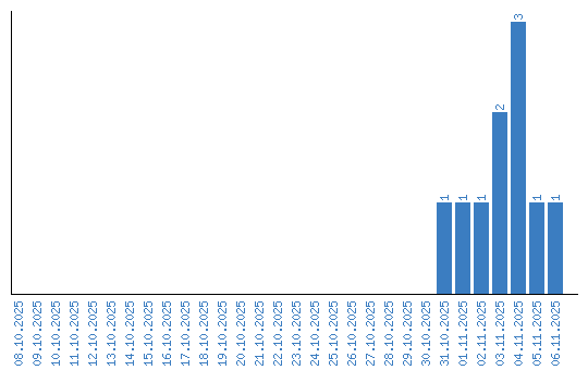
Динамика просмотров по датам