ФотобусАвтобусный транспорт

Информация об изображении

324 КБ


Идентификатор изображения:2015942
Размер файла:324 КБ
Автор:Семен Семеныч
Опубликовано:20.07.2018 06:23 MSK
Находится на сайте, дней:2758
Уникальных просмотров:766
Комментариев:1

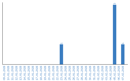
Динамика просмотров по датам