ФотобусАвтобусный транспорт

Информация об изображении

329 КБ


Идентификатор изображения:2011439
Размер файла:329 КБ
Автор:Andriy789
Опубликовано:12.07.2018 13:56 MSK
Находится на сайте, дней:2640
Уникальных просмотров:366
Комментариев:0

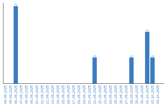
Динамика просмотров по датам