ФотобусАвтобусный транспорт

Информация об изображении

250 КБ


Идентификатор изображения:2011359
Размер файла:250 КБ
Автор:Петро Петрович
Опубликовано:12.07.2018 09:16 MSK
Находится на сайте, дней:2821
Уникальных просмотров:342
Комментариев:0

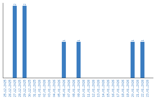
Динамика просмотров по датам