ФотобусАвтобустар галереясы

Информация об изображении

333 КБ


Идентификатор изображения:2008065
Размер файла:333 КБ
Автор:Dimon 24
Опубликовано:07.07.2018 20:02 MSK
Находится на сайте, дней:2686
Уникальных просмотров:201
Комментариев:0

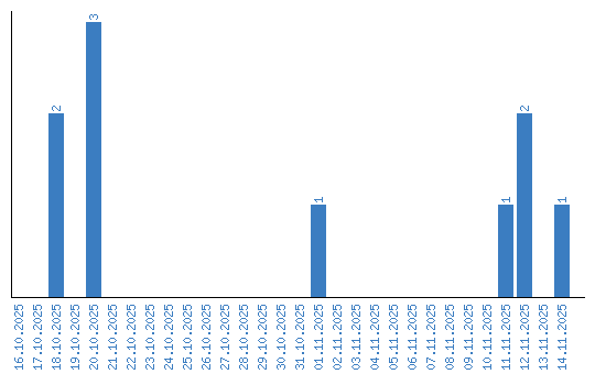
Динамика просмотров по датам