ФотобусАвтобусный транспорт

Информация об изображении

337 КБ


Идентификатор изображения:2003348
Размер файла:337 КБ
Автор:ariss_ka
Опубликовано:01.07.2018 00:30 MSK
Находится на сайте, дней:2800
Уникальных просмотров:244
Комментариев:0

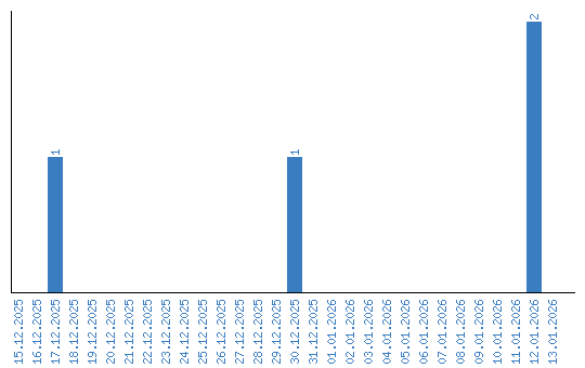
Динамика просмотров по датам