ФотобусАвтобусный транспорт

Информация об изображении

250 КБ


Идентификатор изображения:1998
Размер файла:250 КБ
Автор:Алексей Воробьев
Опубликовано:07.11.2007 23:19 MSK
Находится на сайте, дней:6732
Уникальных просмотров:909
Комментариев:0

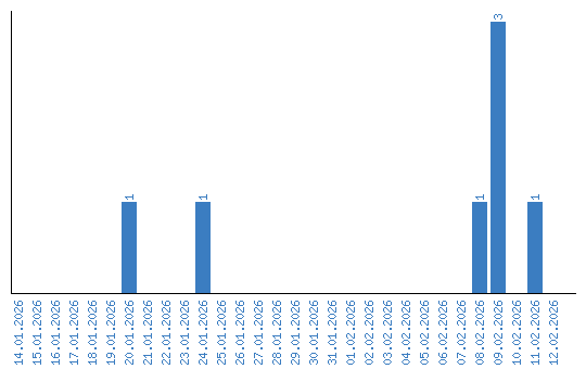
Динамика просмотров по датам