ФотобусАвтобусный транспорт

Информация об изображении

290 КБ


Идентификатор изображения:1997625
Размер файла:290 КБ
Автор:Grenadier_Thomas
Опубликовано:21.06.2018 17:37 MSK
Находится на сайте, дней:2682
Уникальных просмотров:140
Комментариев:0

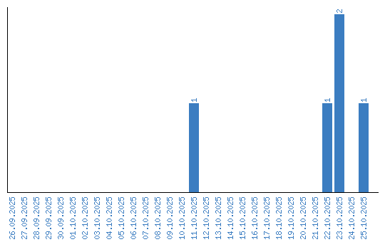
Динамика просмотров по датам