ФотобусАвтобусный транспорт

Информация об изображении

345 КБ


Идентификатор изображения:1997317
Размер файла:345 КБ
Автор:Mr.Den
Опубликовано:21.06.2018 00:04 MSK
Находится на сайте, дней:2846
Уникальных просмотров:1509
Комментариев:45

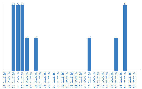
Динамика просмотров по датам