ФотобусАвтобусный транспорт

Информация об изображении

345 КБ


Идентификатор изображения:1985232
Размер файла:345 КБ
Автор:iluxa
Опубликовано:02.06.2018 12:25 MSK
Находится на сайте, дней:2851
Уникальных просмотров:389
Комментариев:2

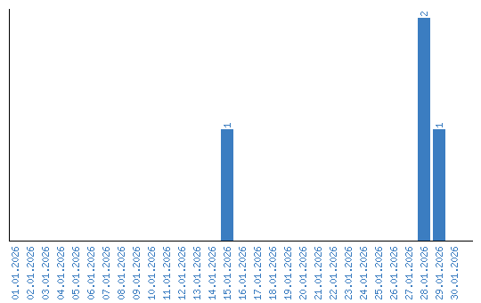
Динамика просмотров по датам