ФотобусАвтобусный транспорт

Информация об изображении

252 КБ


Идентификатор изображения:1982567
Размер файла:252 КБ
Автор:olegp
Опубликовано:28.05.2018 23:29 MSK
Находится на сайте, дней:2736
Уникальных просмотров:250
Комментариев:0

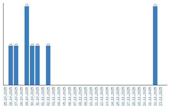
Динамика просмотров по датам