ФотабусАўтобусны транспарт

Iнфармацыя аб малюнку

415 КБ


Ідэнтыфікатар малюнка:1977651
Памер файла:415 КБ
Аўтар:Rai
Апублікавана:20.05.2018 19:58 MSK
Знаходзіцца на сайце, дзён:2833
Унікальных праглядаў:210
Каментарыяў:0

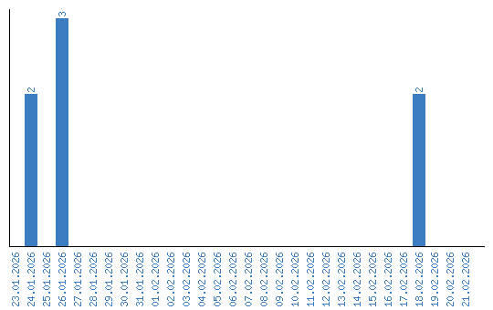
Дынаміка праглядаў па датах