ФотобусАвтобусный транспорт

Информация об изображении

350 КБ


Идентификатор изображения:1975451
Размер файла:350 КБ
Автор:aRa
Опубликовано:17.05.2018 17:26 MSK
Находится на сайте, дней:2804
Уникальных просмотров:515
Комментариев:0

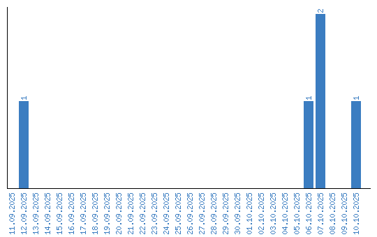
Динамика просмотров по датам