ФотобусАвтобусный транспорт

Информация об изображении

350 КБ


Идентификатор изображения:1968859
Размер файла:350 КБ
Автор:Артюха
Опубликовано:09.05.2018 10:47 MSK
Находится на сайте, дней:2869
Уникальных просмотров:590
Комментариев:2

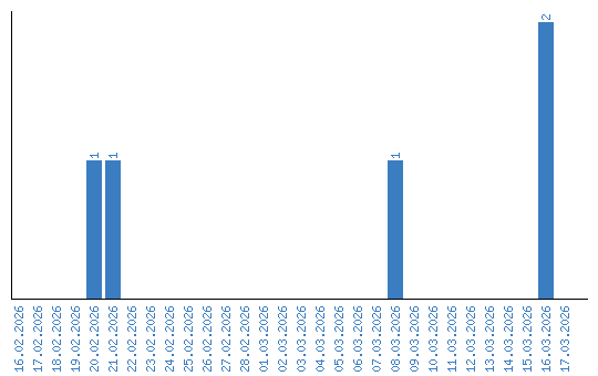
Динамика просмотров по датам