FotobusAutobusų transportas

Nuotraukos informacija

302 KB


Nuotraukos identifikatorius:1960280
Bylos dydis:302 KB
Autorius:c374821
Publikuota:25.04.2018 23:08 MSK
Yra tinklapyje dienų:2821
Unikalių peržiūrų:508
Komentarų:0

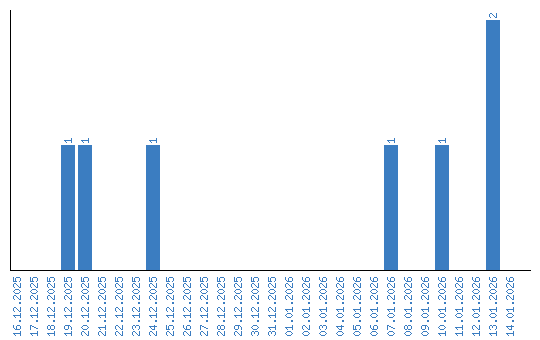
Peržiūrų dinamika pagal dienas