ФотобусАвтобустар галереясы

Информация об изображении

314 КБ


Идентификатор изображения:1956212
Размер файла:314 КБ
Автор:Алексей 57
Опубликовано:19.04.2018 22:57 MSK
Находится на сайте, дней:2874
Уникальных просмотров:334
Комментариев:0

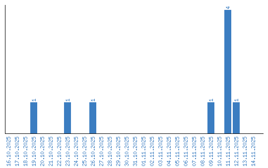
Динамика просмотров по датам