ФотобусАвтобусний транспорт

Статистика по зображенню

337 КБ


Ідентифікатор зображення:1948896
Розмір файлу:337 КБ
Автор:Евгений Мамыкин
Опубліковано:07.04.2018 21:31 MSK
Знаходиться на сайті, днів:2741
Унікальних переглядів:432
Коментарів:0

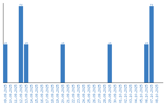
Динаміка переглядів за датами