ФотобусАвтобусный транспорт

Информация об изображении

346 КБ


Идентификатор изображения:1948827
Размер файла:346 КБ
Автор:Abramov_Anton
Опубликовано:07.04.2018 20:31 MSK
Находится на сайте, дней:2882
Уникальных просмотров:356
Комментариев:0

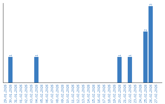
Динамика просмотров по датам