ФотобусАвтобустар галереясы

Информация об изображении

306 КБ


Идентификатор изображения:1931278
Размер файла:306 КБ
Автор:Артем1
Опубликовано:09.03.2018 21:49 MSK
Находится на сайте, дней:2930
Уникальных просмотров:353
Комментариев:0

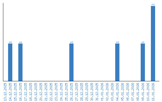
Динамика просмотров по датам