ФотобусАвтобусный транспорт

Информация об изображении

345 КБ


Идентификатор изображения:1922638
Размер файла:345 КБ
Автор:Жоский
Опубликовано:23.02.2018 15:47 MSK
Находится на сайте, дней:2914
Уникальных просмотров:222
Комментариев:0

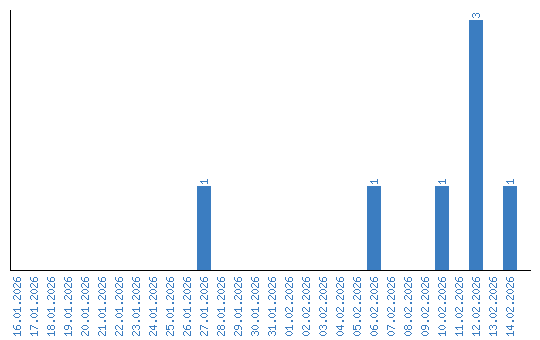
Динамика просмотров по датам