ФотобусАвтобусный транспорт

Информация об изображении

348 КБ


Идентификатор изображения:1921122
Размер файла:348 КБ
Автор:SavA
Опубликовано:21.02.2018 14:48 MSK
Находится на сайте, дней:2947
Уникальных просмотров:485
Комментариев:0

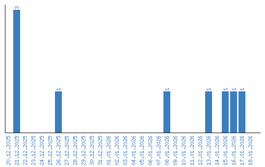
Динамика просмотров по датам