FotobusΜεταφορά με λεωφορείο

Picture Statistics

305 KB


Picture ID:1916504
File Size:305 KB
Συγγραφέας:Maxim Dmitriev
Publication Date:13.02.2018 18:44 MSK
Days in Database:2831
Unique views:495
Comments:0

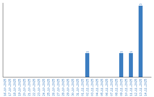
Viewing statistics by date