ФотобусАвтобусный транспорт

Информация об изображении

477 КБ


Идентификатор изображения:1913351
Размер файла:477 КБ
Автор:Макс Строгинский
Опубликовано:08.02.2018 11:44 MSK
Находится на сайте, дней:2805
Уникальных просмотров:692
Комментариев:2

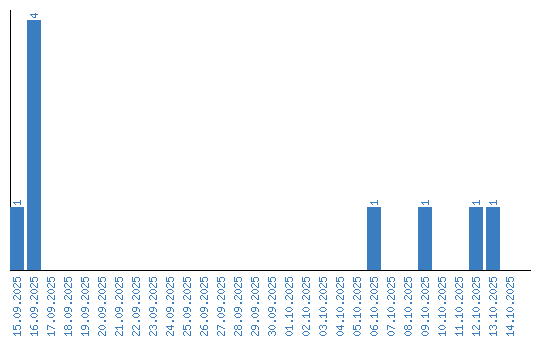
Динамика просмотров по датам