ФотобусАвтобустар галереясы

Информация об изображении

334 КБ


Идентификатор изображения:1910247
Размер файла:334 КБ
Автор:Hunter
Опубликовано:03.02.2018 09:13 MSK
Находится на сайте, дней:2950
Уникальных просмотров:318
Комментариев:0

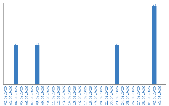
Динамика просмотров по датам