ФотобусАвтобусный транспорт

Информация об изображении

324 КБ


Идентификатор изображения:1894207
Размер файла:324 КБ
Автор:Роман SGC
Опубликовано:05.01.2018 21:08 MSK
Находится на сайте, дней:2930
Уникальных просмотров:301
Комментариев:0

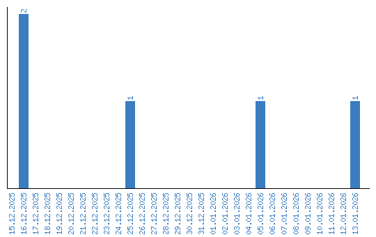
Динамика просмотров по датам