FotobusBusverkehr

Bildinformationen

282 KB


Foto-ID:1889434
Dateigröße:282 KB
Aufgenommen von:Grenadier_Thomas
Veröffentlicht am:29.12.2017 22:17 MSK
Tage seit Veröffentlichung:2879
Aufrufe:330
Kommentare:0

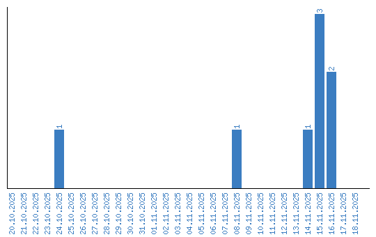
Aufrufestatistik (Tage)