ФотабусАўтобусны транспарт

Iнфармацыя аб малюнку

345 КБ


Ідэнтыфікатар малюнка:1889087
Памер файла:345 КБ
Аўтар:Власов Максим
Апублікавана:28.12.2017 20:33 MSK
Знаходзіцца на сайце, дзён:2978
Унікальных праглядаў:683
Каментарыяў:0

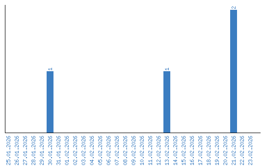
Дынаміка праглядаў па датах