ФотобусАвтобусный транспорт

Информация об изображении

132 КБ


Идентификатор изображения:1881124
Размер файла:132 КБ
Автор:Дмитрий Андреевич
Опубликовано:11.12.2017 20:37 MSK
Находится на сайте, дней:2998
Уникальных просмотров:283
Комментариев:0

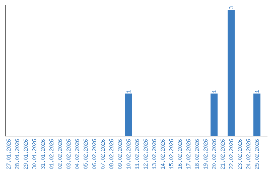
Динамика просмотров по датам