ФотабусАўтобусны транспарт

Iнфармацыя аб малюнку

486 КБ


Ідэнтыфікатар малюнка:1877883
Памер файла:486 КБ
Аўтар:Кирилл Величко
Апублікавана:04.12.2017 11:22 MSK
Знаходзіцца на сайце, дзён:2977
Унікальных праглядаў:1118
Каментарыяў:6

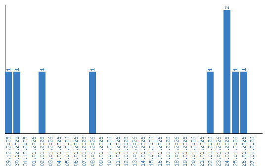
Дынаміка праглядаў па датах