ФотобусАвтобусный транспорт

Информация об изображении

447 КБ


Идентификатор изображения:1876712
Размер файла:447 КБ
Автор:Илья Плеханов
Опубликовано:02.12.2017 11:01 MSK
Находится на сайте, дней:3039
Уникальных просмотров:175
Комментариев:0

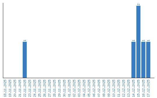
Динамика просмотров по датам