ФотобусАвтобусный транспорт

Информация об изображении

264 КБ


Идентификатор изображения:1876242
Размер файла:264 КБ
Автор:Manovich
Опубликовано:01.12.2017 13:19 MSK
Находится на сайте, дней:3023
Уникальных просмотров:340
Комментариев:0

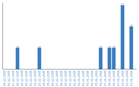
Динамика просмотров по датам