FotobusAutobusų transportas

Nuotraukos informacija

296 KB


Nuotraukos identifikatorius:1873512
Bylos dydis:296 KB
Autorius:Manovich
Publikuota:25.11.2017 14:07 MSK
Yra tinklapyje dienų:3018
Unikalių peržiūrų:250
Komentarų:0

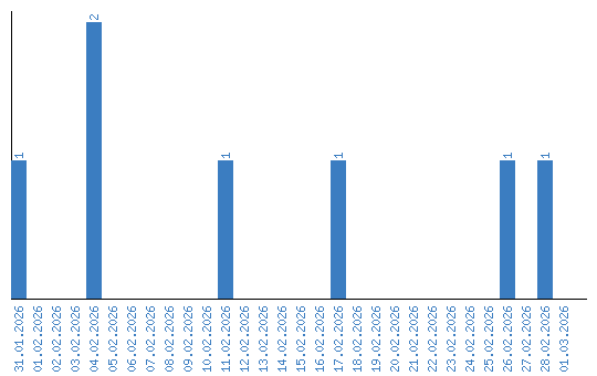
Peržiūrų dinamika pagal dienas